Ответы
Ответ дал:
0
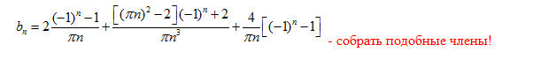
Сначала разложим на слагаемые, потом приведем подобные члены.
Обозначим - а =(-1)^n и с = πn.

Кажется не закончено, но.....
Обозначим - а =(-1)^n и с = πn.
Кажется не закончено, но.....
Вас заинтересует
3 года назад
7 лет назад
7 лет назад
10 лет назад
10 лет назад
10 лет назад