• Предмет: Математика
  • Автор: девочка1812
  • Вопрос задан 11 лет назад

Напишете ответ в форме фото пожалуйста

Приложения:

Ответы

Ответ дал: kefa
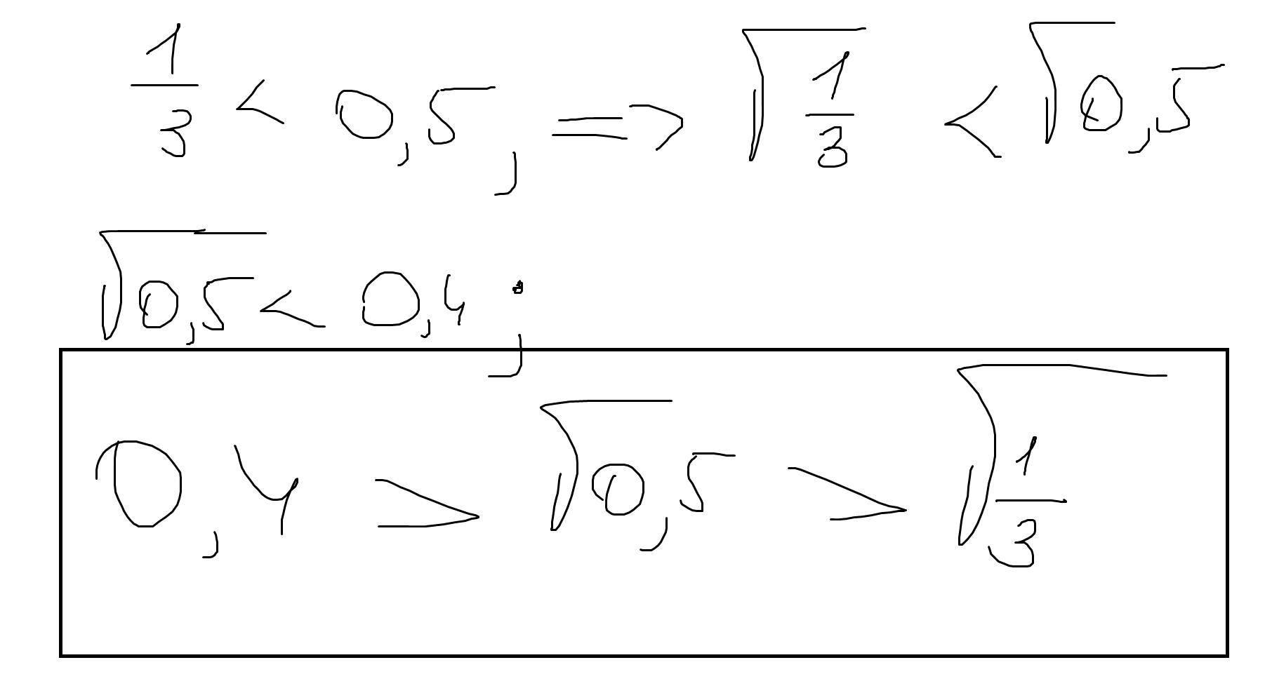
0
в приложении............
Приложения:
Ответ дал: Artem112
0
 sqrt{0,5} \ 0,4= sqrt{0,16} \ sqrt{ frac{1}{3} } = sqrt{0,(3)} \  sqrt{0,5}> sqrt{ frac{1}{3} }> 0,4
Приложения:
Вас заинтересует