• Предмет: Математика
  • Автор: garuppa97
  • Вопрос задан 9 лет назад

Помогите пожалуйста((
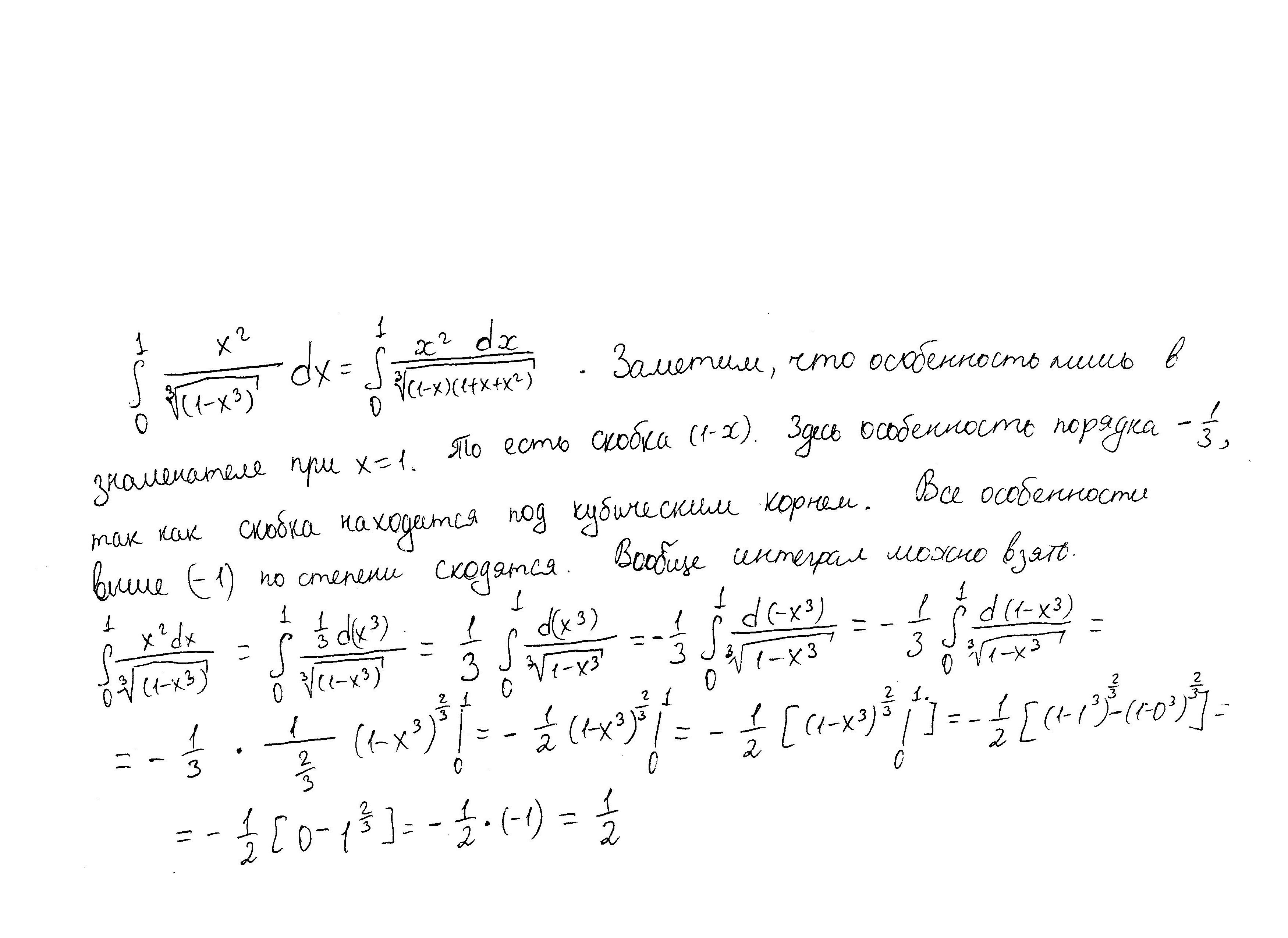
Исследовать несобственный интеграл на сходимость.
Заранее спасибо)

Приложения:

Ответы

Ответ дал: bearcab
0
Решение в приложении.
Приложения:
Вас заинтересует