• Предмет: Алгебра
  • Автор: Mary230999
  • Вопрос задан 11 лет назад

Легкая тема но просто тут дофига их задали помогите пожалуйста с 1 частью

Приложения:

Ответы

Ответ дал: Света19999
0
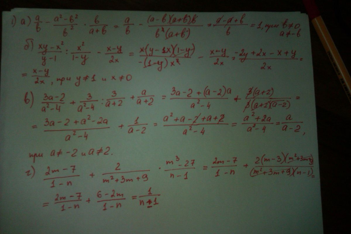
решение на фото
только 1)
Приложения:
Ответ дал: мегаспец
0
с одним примером чо-то не так. вечером еще подумаю
Приложения:
Вас заинтересует