Ответы
Ответ дал:
0
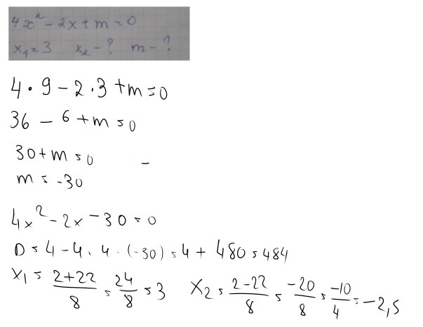
В 4 же всё просто, сначала находишь m. Для это подставляешь X1 и вычисляешь, а потом уже находишь x2.
Приложения:

Вас заинтересует
2 года назад
2 года назад
7 лет назад
7 лет назад
9 лет назад
9 лет назад