Ответы
Ответ дал:
0
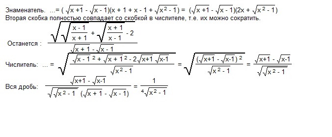
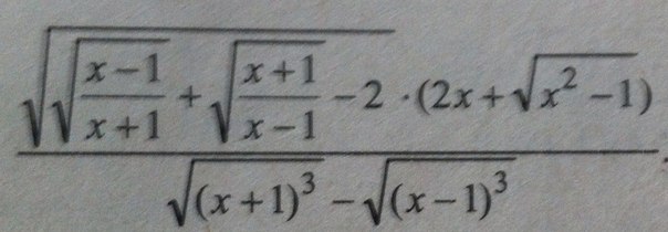
использованы: формула квадрата разности, формула разности кубов, алгебраические преобразования дробей
Приложения:

Вас заинтересует
2 года назад
2 года назад
8 лет назад
8 лет назад
10 лет назад
10 лет назад
10 лет назад