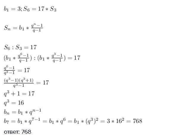
Первый член геометрической прогрессии равен 3. Сумма первых шести членов в 17 раз больше суммы первых трёх членов. Найти седьмой член прогрессии.
Ответы
Ответ дал:
0
ответ: 768
Приложения:

Вас заинтересует
2 года назад
7 лет назад
9 лет назад
9 лет назад
10 лет назад
10 лет назад