Ответы
Ответ дал:
0
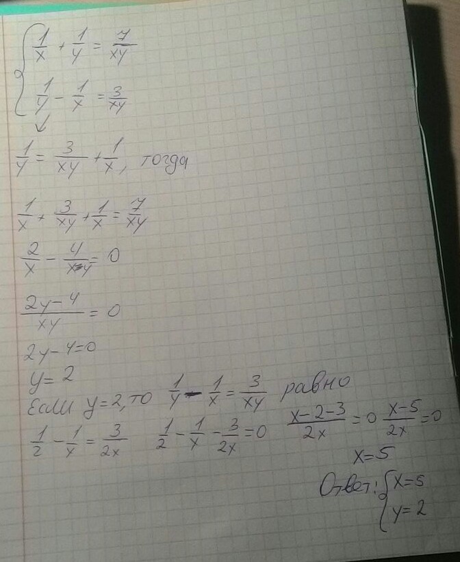
Во втором уравнение переносим 1/х в правую часть.
Получается, что 1/у=(3/ху+1/х).
Подставляем вместо 1/у выражение в скобках в первое уравнение.
Находим у.
Подставляем значение у во второе уравнение.
Находим х
Получается, что 1/у=(3/ху+1/х).
Подставляем вместо 1/у выражение в скобках в первое уравнение.
Находим у.
Подставляем значение у во второе уравнение.
Находим х
Приложения:

Вас заинтересует
2 года назад
7 лет назад
7 лет назад
9 лет назад
9 лет назад
10 лет назад