Помогите пожалуйста примеры. Дроби
Вычисли
9 целых 1/3 разделить на 4/5
2/3 умножить на 2 целых 3/4
3/5 разделить на 1 целую 2/3
Ответы
Ответ дал:
0
Вот, держи решение.Очень легкие примеры.
Приложения:
Ответ дал:
0
Ответы:
Ответ дал:
0
11целых 2/3
Ответ дал:
0
все же ответы сошлись
Ответ дал:
0
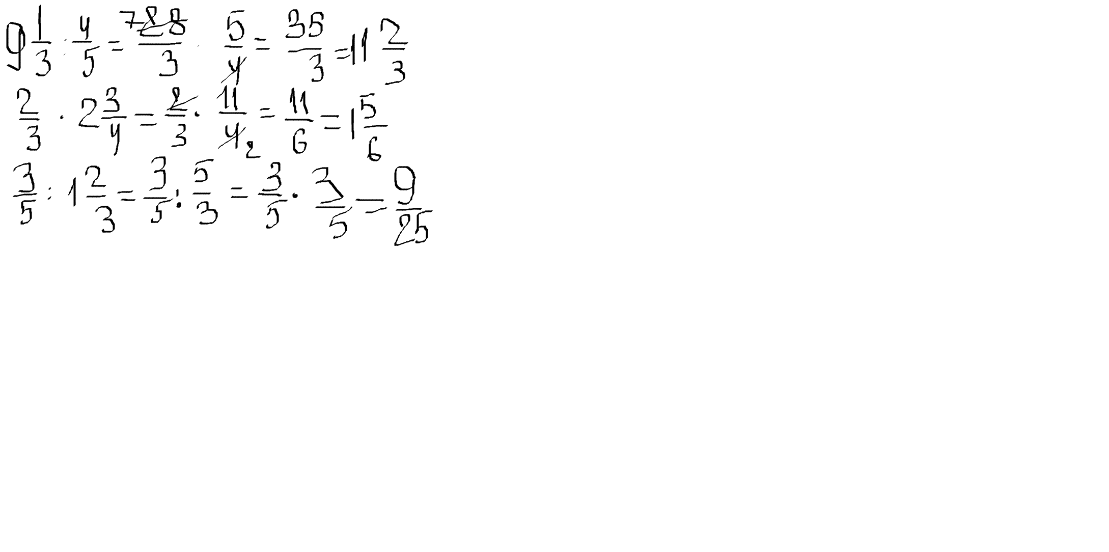
1)9 1/3:4/5=28/3*5/4=35/3=11 2/3
2)2/3*2 3/4=2/3*11/4=11/6=1 5/6
3)3/5:1 2/3=3/5:5/3=3/5*3/5=9/25
2)2/3*2 3/4=2/3*11/4=11/6=1 5/6
3)3/5:1 2/3=3/5:5/3=3/5*3/5=9/25
Приложения:
Вас заинтересует
3 года назад
3 года назад
8 лет назад
8 лет назад
11 лет назад
11 лет назад
11 лет назад