• Предмет: Алгебра
  • Автор: 12345misha
  • Вопрос задан 11 лет назад

Мне нужно полное решение фоткой ,заранее спасибо;)

Приложения:

Ответы

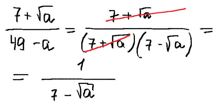
Ответ дал: Аноним
0
см. вложение
==========================================
Приложения:
Вас заинтересует