• Предмет: Математика
  • Автор: alyna997
  • Вопрос задан 11 лет назад

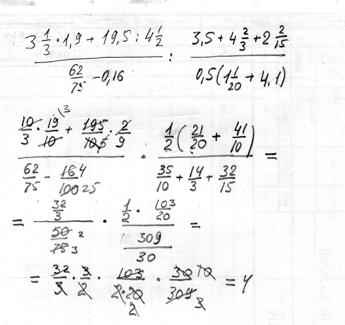
Помогите пожалуйста решить задание.29 день.Долго сидела и решала,но ответ не правильный получался.Пример по алгебре.Очень нужна помощь.Ответ 4.
Если можно,то напишите пожалуйста решение на листочке)

Приложения:

Ответы

Ответ дал: Гоша68
0
решение в файле, надеюсь видно......................................
Приложения:
Вас заинтересует