• Предмет: Математика
  • Автор: андрухааа
  • Вопрос задан 9 лет назад

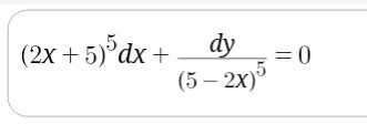
Дифференциальные уравнения первого порядка. Помогите пожалуйста, срочно нужно!!

Приложения:

Ответы

Ответ дал: АмелияРайс
0
 frac{(2x+5)^5}{(-2x+5) ^{5} } dx=-dy
-dx=-dy
dx=dy
y=x+c

Вас заинтересует