Ответы
Ответ дал:
0
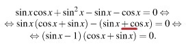
Правило раскрытия скобок:
- если перед скобками стоит знак "+", то при раскрытии скобок знаки в них не меняются;
- если перед скобками стоит знак "-", то при раскрытии скобок знаки в них меняются на противоположные.
Это правило работает и при образовании скобок, как показано в примере. До образования скобок у синуса и косинуса были знаки "-", при попадании в скобки, а перед скобками поставлен был знак "-", знаки поменялись на противоположные. Раскрытие скобок подтверждает правильность образования скобок.
- если перед скобками стоит знак "+", то при раскрытии скобок знаки в них не меняются;
- если перед скобками стоит знак "-", то при раскрытии скобок знаки в них меняются на противоположные.
Это правило работает и при образовании скобок, как показано в примере. До образования скобок у синуса и косинуса были знаки "-", при попадании в скобки, а перед скобками поставлен был знак "-", знаки поменялись на противоположные. Раскрытие скобок подтверждает правильность образования скобок.
Вас заинтересует
2 года назад
2 года назад
7 лет назад
7 лет назад
10 лет назад
10 лет назад
10 лет назад