• Предмет: Геометрия
  • Автор: Поллинка
  • Вопрос задан 11 лет назад

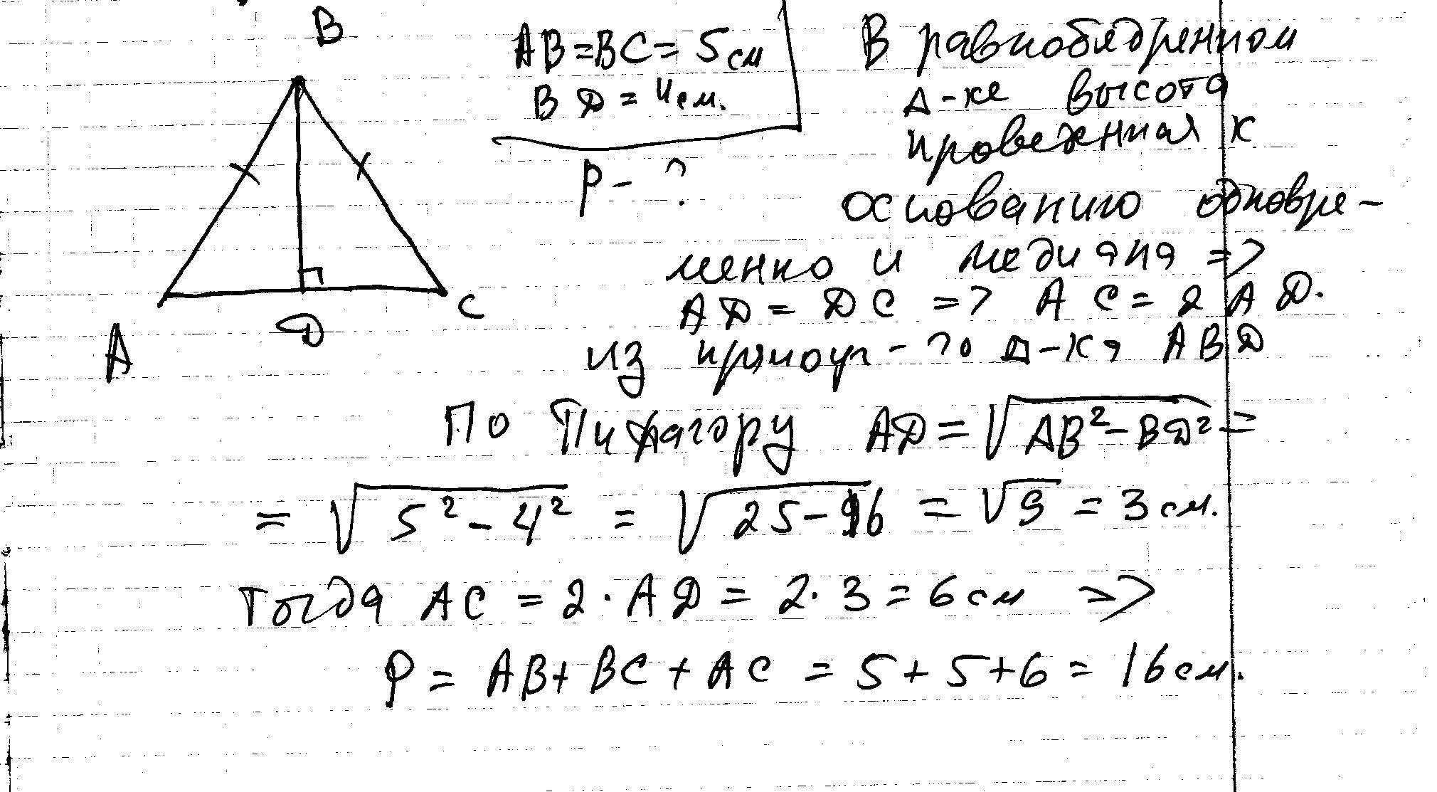
Боковая сторона равнобедренного треугольника равна 5см,а высота,опущенная на основание-4см,найти периметр прямоугольника

Ответы

Ответ дал: ужнеужели
0
решение в скане..............
Приложения:
Вас заинтересует