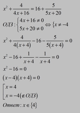
Ответы
Ответ дал:
0
!!!!!!!!!!!!!!!!!!!!!!!!!!!!!!!!!!!!!!!!!1
Приложения:

Вас заинтересует
2 года назад
7 лет назад
9 лет назад
9 лет назад