• Предмет: Математика
  • Автор: BlackWidow1924
  • Вопрос задан 9 лет назад

5,2х+3,9-1,6х=18,48
39,5-4а=23,8
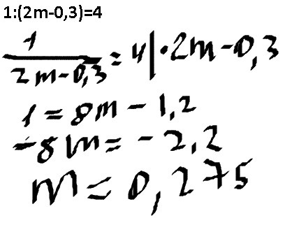
1:(2m-0,3)=4
Заранее спасибо!

Ответы

Ответ дал: lakOR555
0
3,6х=14,58
х=4,05

-4а=-15,7
а=3,925

3 уравнение во вложении

Приложения:
Вас заинтересует