Ответы
Ответ дал:
0
=====================================================================================
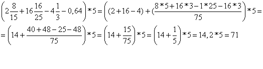
Приложения:


Вас заинтересует
2 года назад
2 года назад
8 лет назад
10 лет назад
10 лет назад