• Предмет: Алгебра
  • Автор: DefaultINT
  • Вопрос задан 9 лет назад

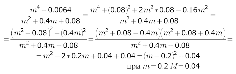
Скиньте фото с решением задания

Приложения:

Ответы

Ответ дал: LFP
0
25*0.04 = 1
----------------
Приложения:
Вас заинтересует