• Предмет: Математика
  • Автор: torgovanova00
  • Вопрос задан 9 лет назад

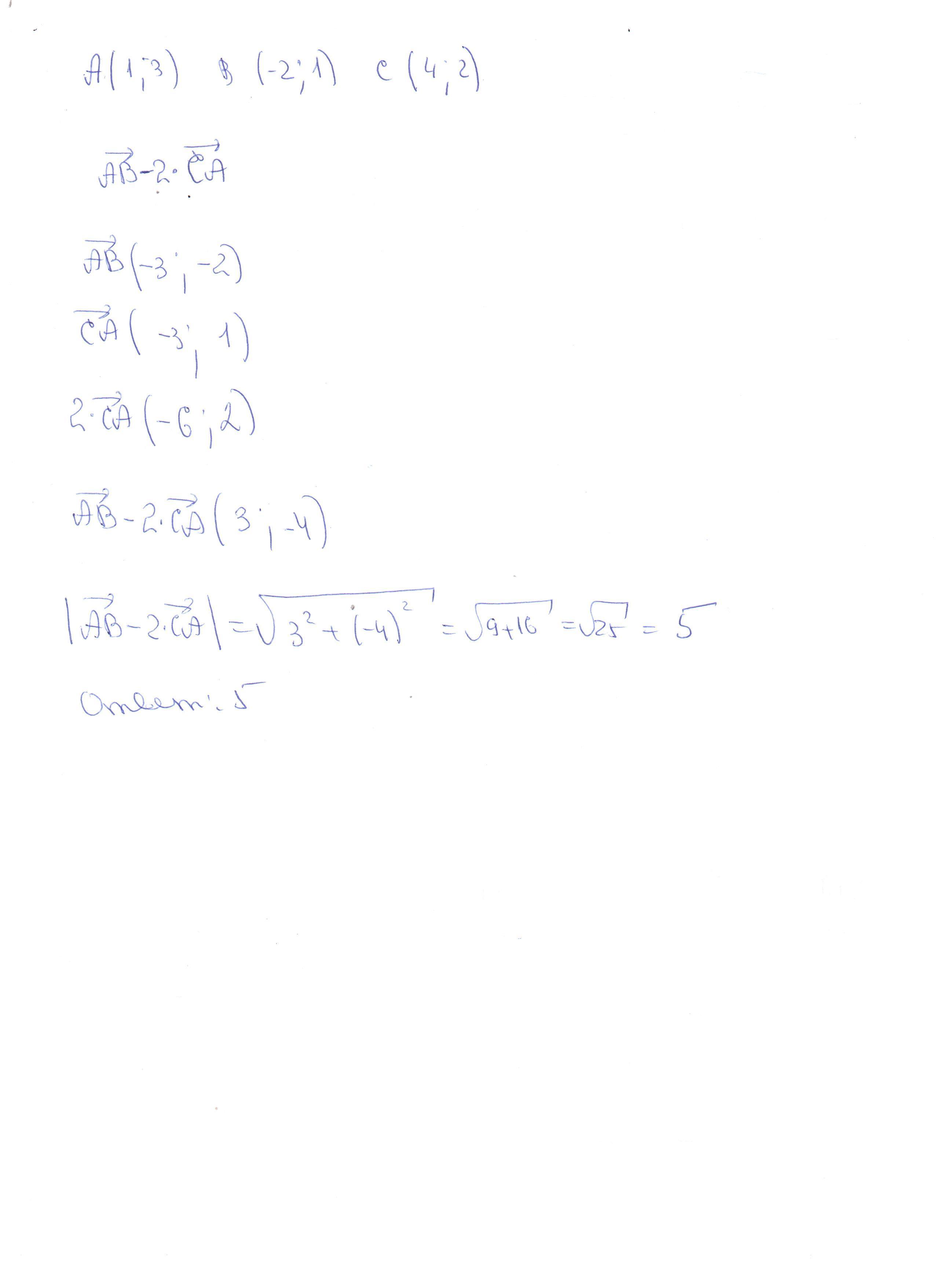
Подскажите пожалуйста как решить следующее задание - даны точка А (1,3), В ( -2, 1) и С ( 4, 2 ). нужно выразить компоненты векторов АВ - 2х СА и найти модуль этого вектора

Ответы

Ответ дал: valenivan
0
Решение добавлено на одном листе
Приложения:
Ответ дал: torgovanova00
0
Большое спасибо
Вас заинтересует