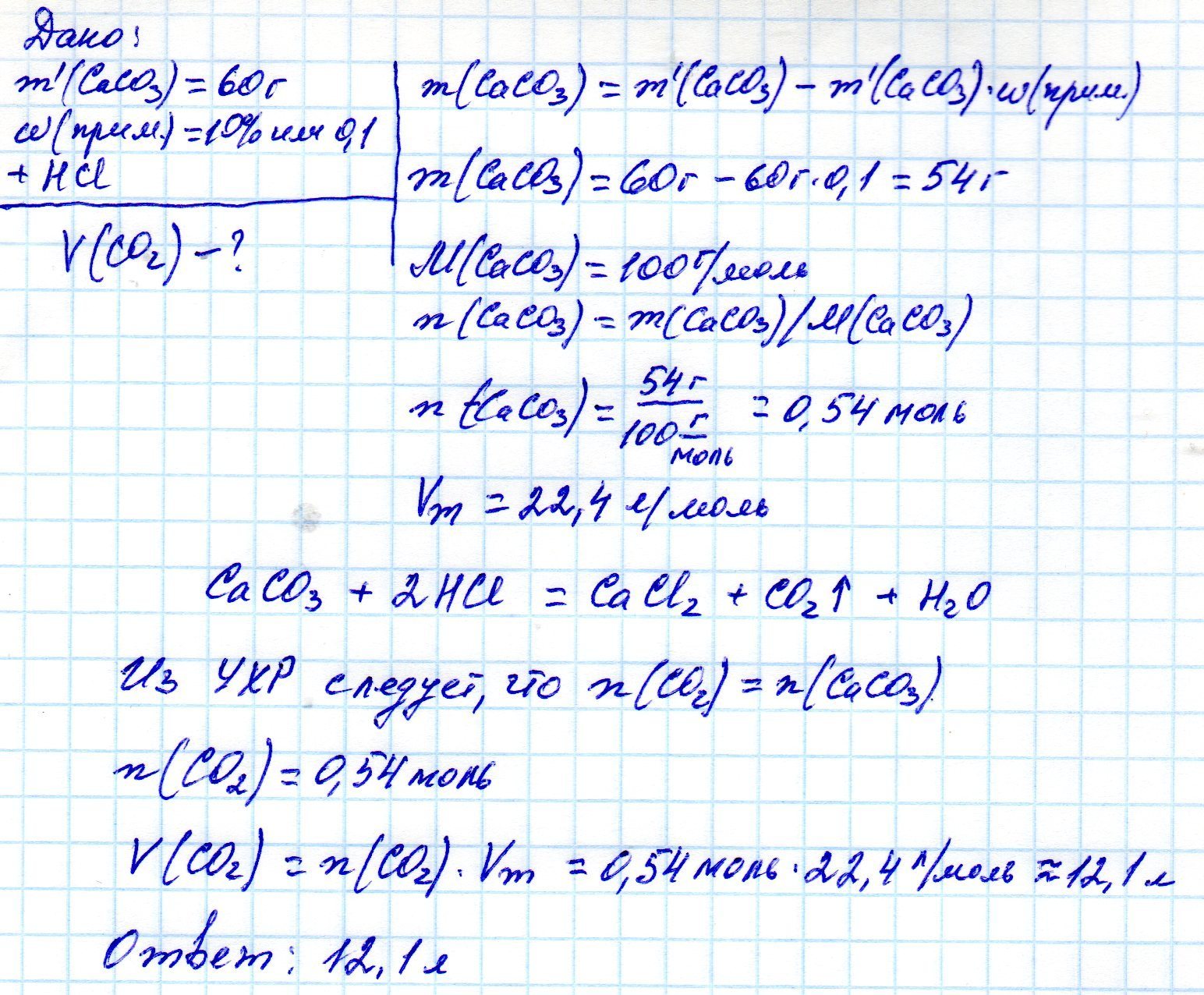
Какой объем оксида углерода (IV) образуется при взаимодействии 60 г карбоната кальция, содержащего 10% примесей, с соляной кислотой?
Ответы
Ответ дал:
0
.......................................................
....................................................
....................................................
Приложения:
Вас заинтересует
2 года назад
2 года назад
7 лет назад
10 лет назад
10 лет назад
10 лет назад