• Предмет: Математика
  • Автор: Анастсия111
  • Вопрос задан 9 лет назад

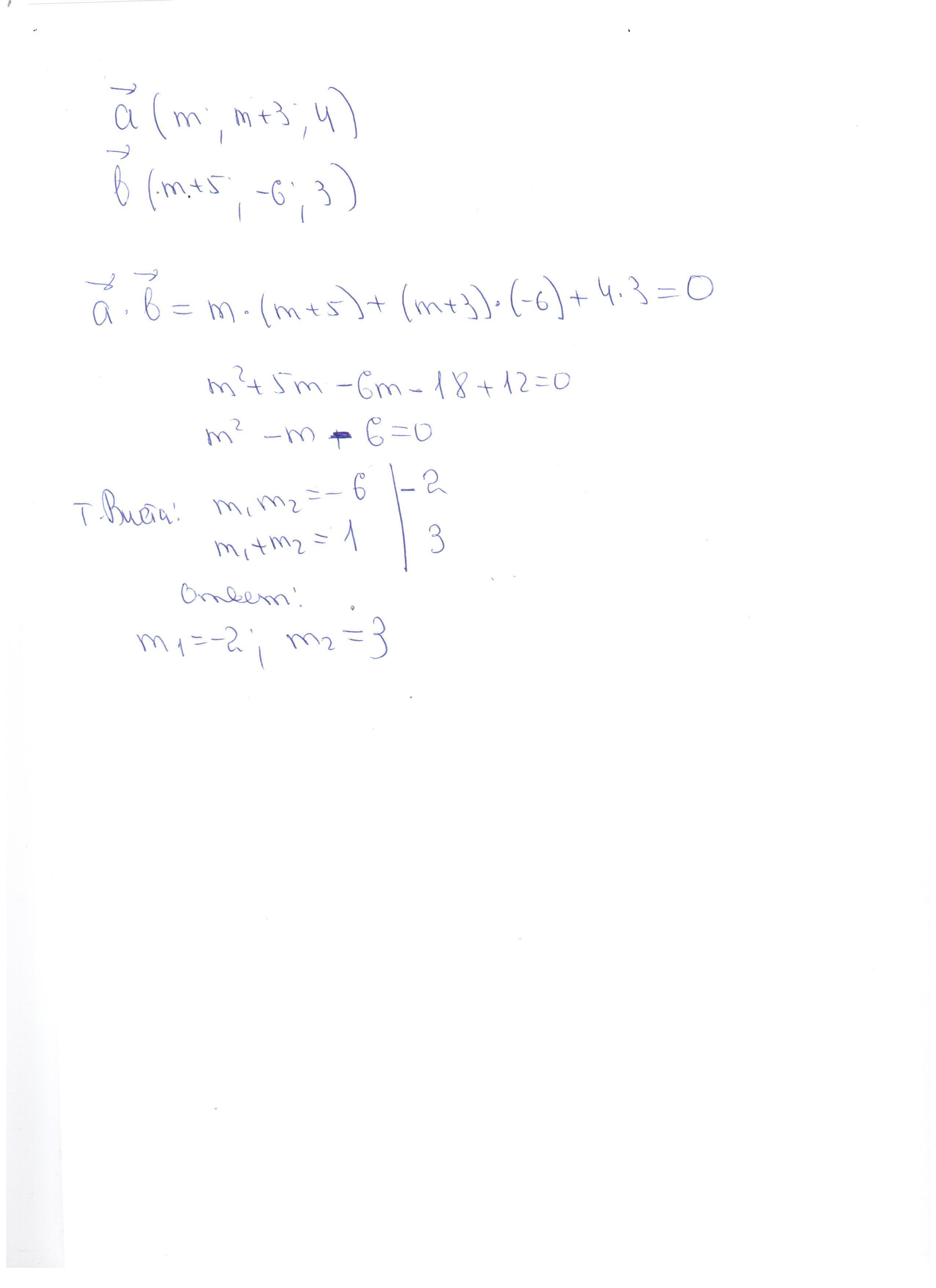
при каком значение м векторы а(м; м+3; 4) и б(м+5; -6;3) перпендикулярны?

Ответы

Ответ дал: valenivan
0
Решение добавлено на одном листе
Приложения:
Вас заинтересует