• Предмет: Алгебра
  • Автор: dashkadashulya
  • Вопрос задан 11 лет назад

Помогите, пожалуйста!

Приложения:

Ответы

Ответ дал: NNNLLL54
0
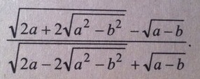
(sqrt{a+b}+sqrt{a-b})^2=a-b+2sqrt{(a+b)(a-b)}+a-b=\=2a+2sqrt{a^2-b^2}\(sqrt{a+b}-sqrt{a-b})^2=2a-2sqrt{a^2-b^2}\frac{sqrt {2a+2sqrt{a^2-b^2}}-sqrt{a-b}}{sqrt{2a-2sqrt{a^2-b^2}}+sqrt{a-b}}=frac{{sqrt{(sqrt{a+b}+sqrt{a-b})^2}-sqrt{a-b}}}{sqrt{(sqrt{a+b}-sqrt{a-b})^2}+sqrt{a-b}}=\=frac{|sqrt{a+b}+sqrt{a-b}|-sqrt{a-b}}{|sqrt{a+b}-sqrt{a-b}|+sqrt{a-b}}=frac{sqrt{a+b}+sqrt{a-b}-sqrt{a-b}}{sqrt{a+b}-sqrt{a-b}+sqrt{a-b}}=\=frac{sqrt{a+b}}{sqrt{a+b}}=1
a+b>=0, a-b>=0
a>=-b, a>=b  --->  
sqrt{a+b} geq sqrt{a-b}
Вас заинтересует