• Предмет: Алгебра
  • Автор: Lizka231y
  • Вопрос задан 9 лет назад

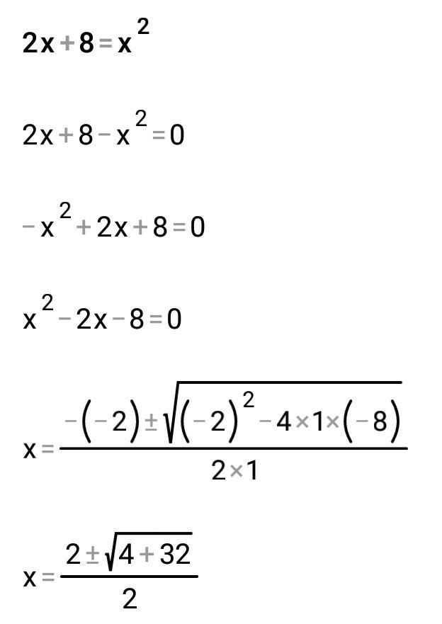
Решите графическое уравнение 2х+8=х²

Ответы

Ответ дал: Sonichka228
0
2х+8=х² вроде как то так 
Приложения:
Вас заинтересует