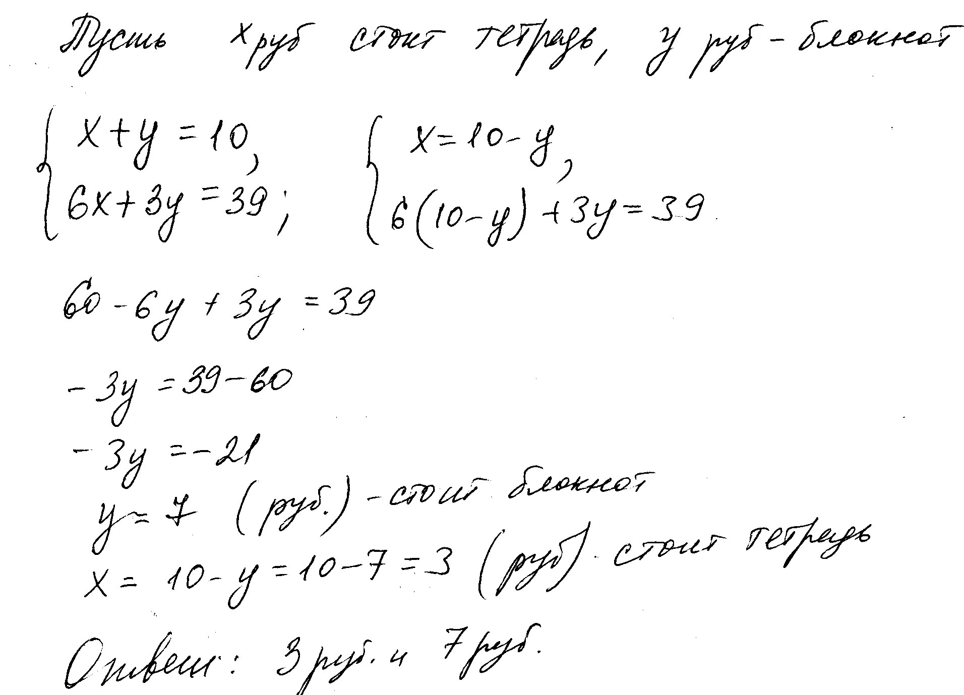
тетрадь и блокнот вместе стоят 10 руб,а шесть тетрадей и три блокнота стоят 39 руб.Сколько стоит тетрадь и сколько стоит блокнот. (составить систему уравнений)
Ответы
Ответ дал:
0
решение во вложенном файле
Приложения:

Вас заинтересует
2 года назад
2 года назад
7 лет назад
7 лет назад
9 лет назад
9 лет назад