• Предмет: Алгебра
  • Автор: MissVika12
  • Вопрос задан 9 лет назад

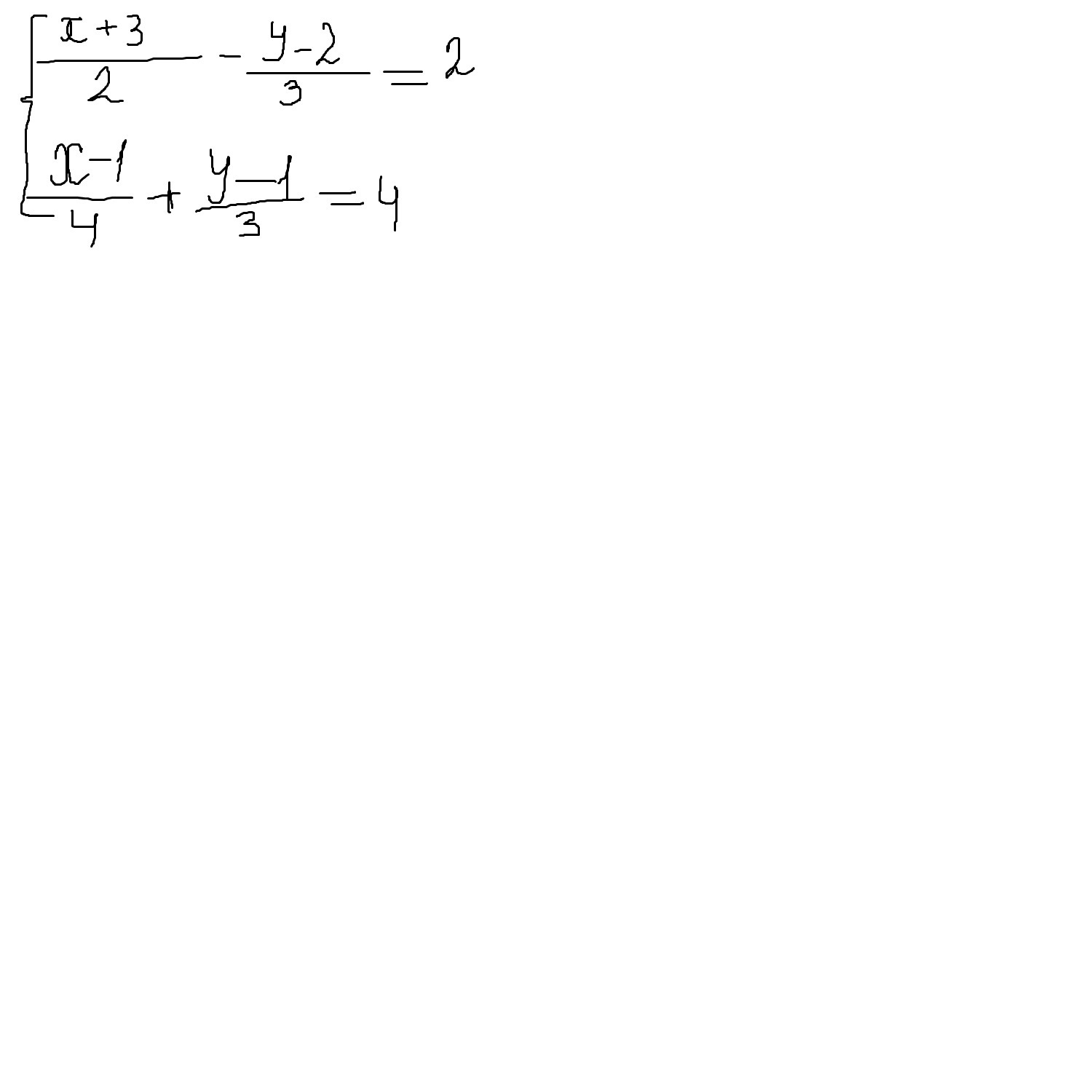
Решите Систему Уравнений

Приложения:

Ответы

Ответ дал: samodina
0
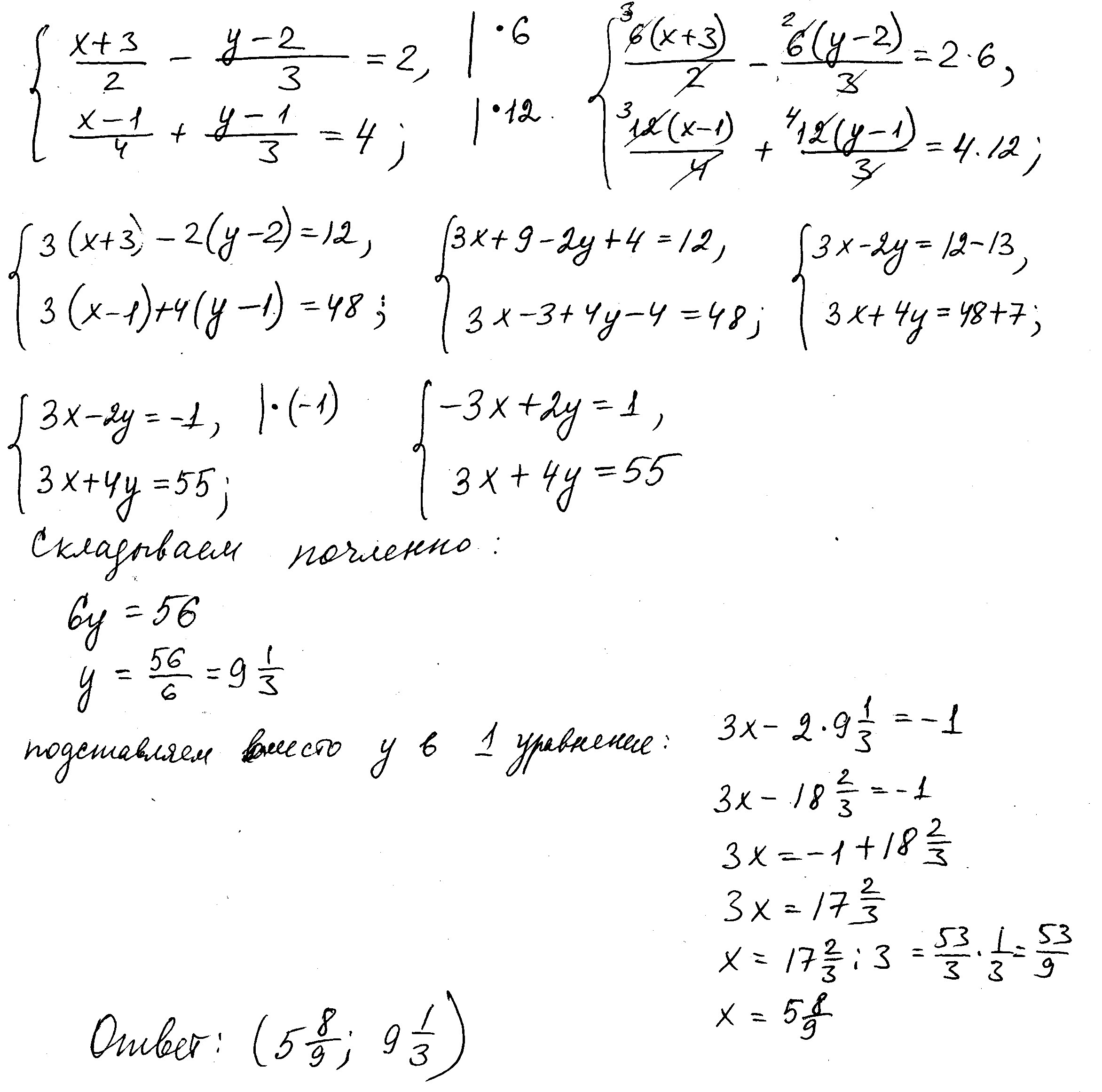
решение во вложенном файле
Приложения:
Вас заинтересует