• Предмет: Алгебра
  • Автор: beigerksu
  • Вопрос задан 9 лет назад

Решите неравенство.
Пожалуйста, очень нужно!!1

Приложения:

Ответы

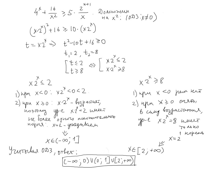
Ответ дал: Denik777
0
Решение прицеплено в картинке
Приложения:
Вас заинтересует