• Предмет: Математика
  • Автор: Валерия465
  • Вопрос задан 9 лет назад

Решить уравнение:
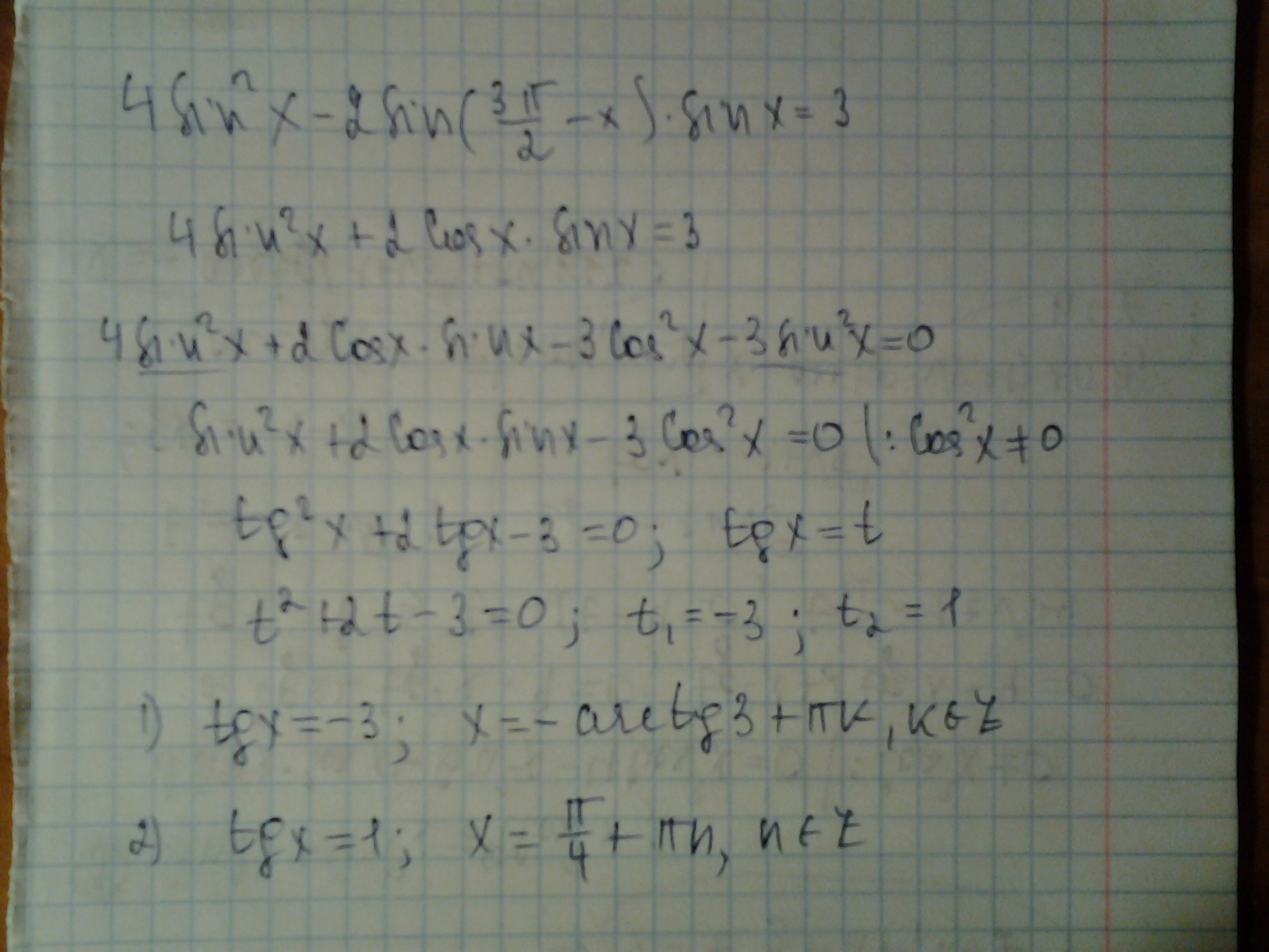
4sin^2x-2sin(3 пи2-x) sinx=3

Ответы

Ответ дал: okneret
0
Применены : формула приведения, основное тригонометрическое тождество, определение тангенса, его табличное значение, определение арктангенса, теорема Виета
Приложения:
Вас заинтересует