• Предмет: Геометрия
  • Автор: olay20
  • Вопрос задан 9 лет назад

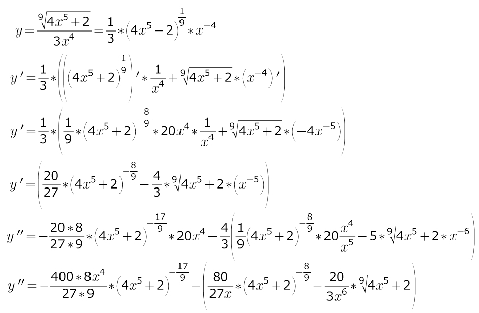
Найти производные y" указанных функций


Спасибо за ответ

Приложения:

Ответы

Ответ дал: LFP
0
надеюсь, нигде не ошиблась))
Приложения:
Вас заинтересует