• Предмет: Алгебра
  • Автор: pr8crastinati8n
  • Вопрос задан 9 лет назад

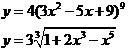
Найдите производную сложной функции

Приложения:

Ответа на этот вопрос пока нет. Попробуйте найти его через форму поиска.

Вас заинтересует