• Предмет: Алгебра
  • Автор: lisabudaeva
  • Вопрос задан 9 лет назад

Помогите пожалуйста с задачей 33,35,36

Приложения:

Ответы

Ответ дал: 95Алекса95
0
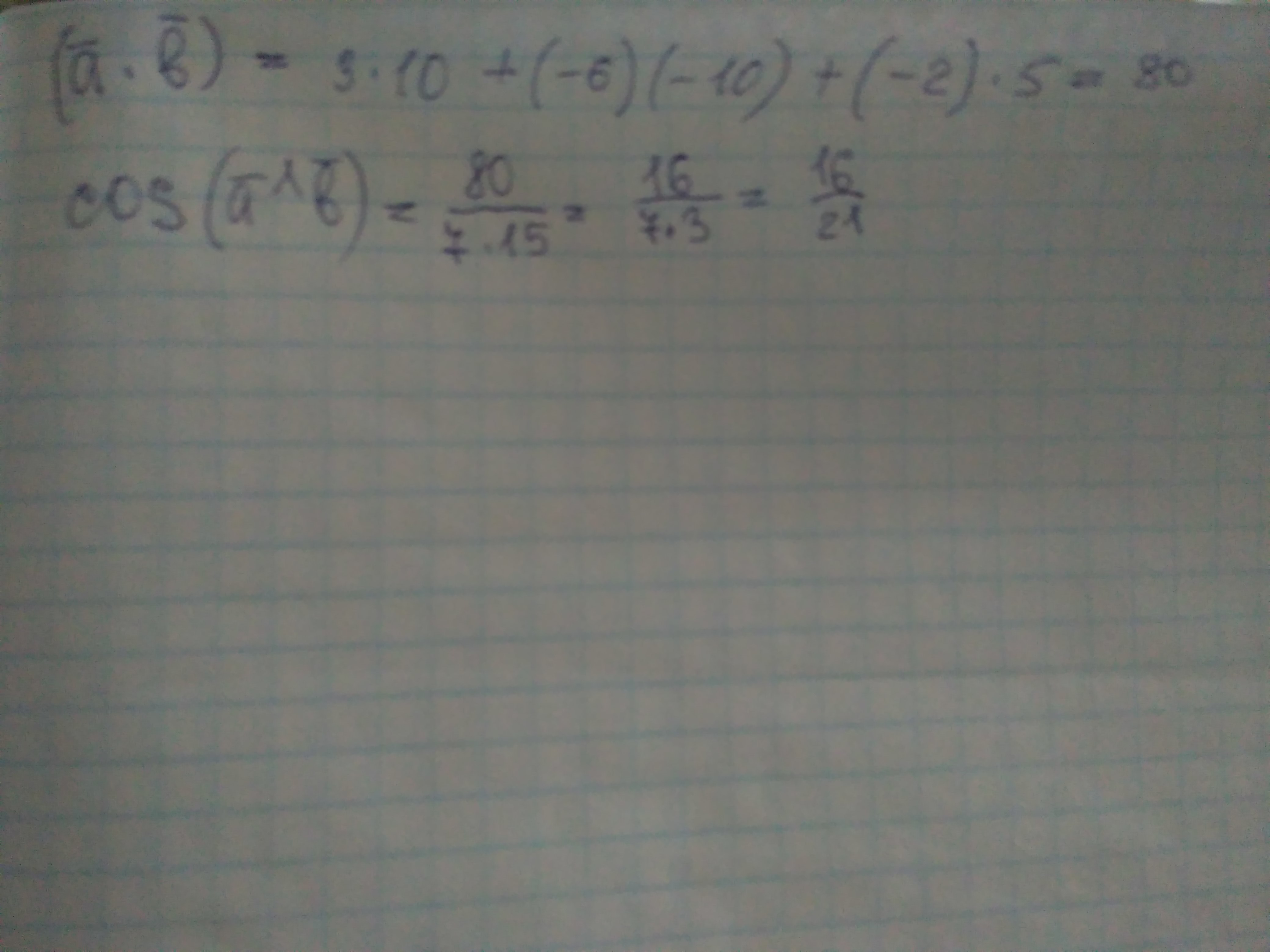
Вроде так должно быть
Приложения:
Ответ дал: lisabudaeva
0
На втором фото это продолжение 35 задания?
Ответ дал: 95Алекса95
0
да
Вас заинтересует