• Предмет: Математика
  • Автор: Pripekashkin
  • Вопрос задан 9 лет назад

Преобразуйте без замены,пожалуйста

Приложения:

Ответы

Ответ дал: ВладимирБ
0
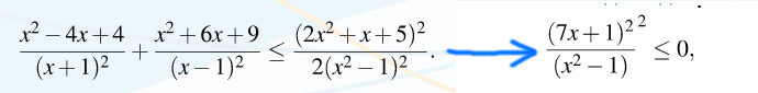
Решение смотри на фото
Приложения:
Вас заинтересует