• Предмет: Алгебра
  • Автор: ppppppp15llllll
  • Вопрос задан 9 лет назад

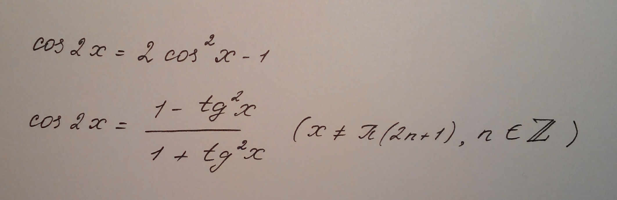
Выразить cos2x через cosx и tgx

Ответы

Ответ дал: tgz
0
Есть готовые формулы, называются формулы косинуса двойного аргумента. В одной из них cos2x выражен через сosx, в другой через tgx
Приложения:
Ответ дал: oganesbagoyan
0
x = π(2n +1)=2πn+π ⇒ tqx =0 и cos2x =1 . * * * (2x =2πn+2π cos2x =1 * * *
Ответ дал: oganesbagoyan
0
cos2x =(cos²x -sin²x) /( cos²x+sin²x) = (1 - tq²x) / (1+tq²x) , если cos²x ≠ 0 ⇔ cosx ≠ 0 ⇒ x ≠ π/2 + π*n , n ∈ Z.
Ответ дал: tgz
0
Точно! Эта формула чаще всего применяется как универсальная подстановка, где тангенс половинного угла! Поэтому автоматически выписала условие для х/2. Невнимательность... Спасибо за замечание!
Вас заинтересует