• Предмет: Алгебра
  • Автор: Кариночка78
  • Вопрос задан 9 лет назад

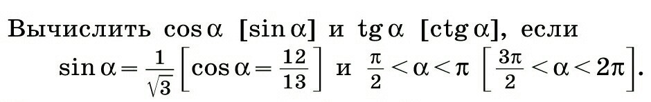
Помогите, пожалуйста, с алгеброй. Срочно.

Приложения:

Ответа на этот вопрос пока нет. Попробуйте найти его через форму поиска.

Вас заинтересует