Ответы
Ответ дал:
0
по-моему это решается как то так
Приложения:

Ответ дал:
0
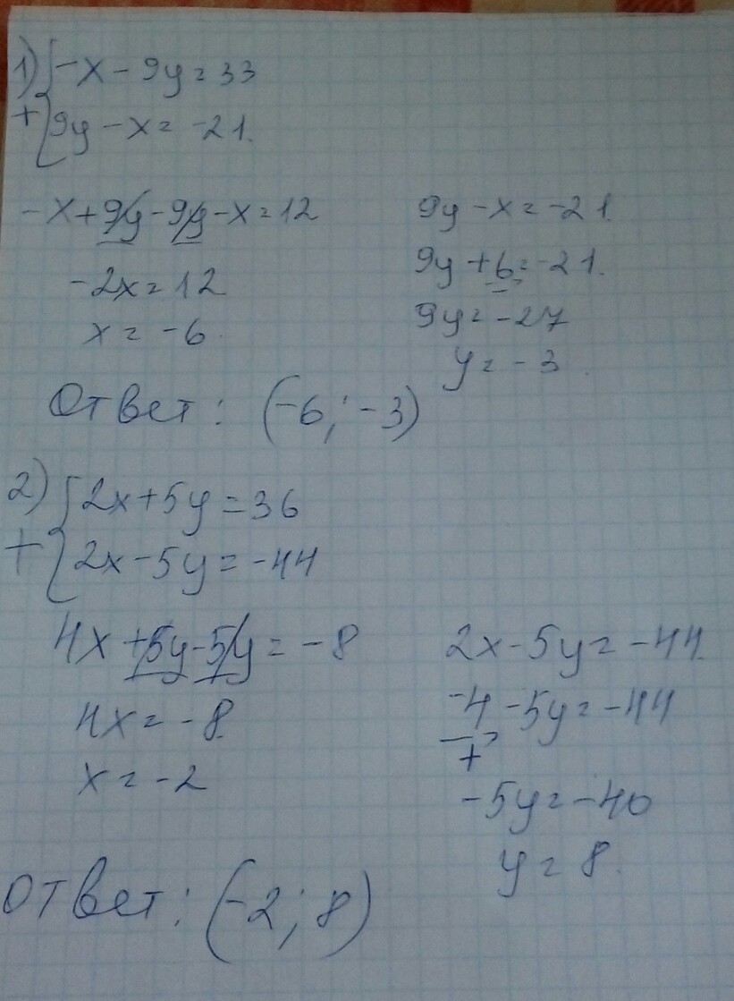
1) (-6; -3)
2) (-2; 8)
2) (-2; 8)
Приложения:

Вас заинтересует
2 года назад
2 года назад
7 лет назад
9 лет назад
10 лет назад