• Предмет: Алгебра
  • Автор: Кариночка78
  • Вопрос задан 9 лет назад

Помогите, пожалуйста, с алгеброй.

Приложения:

Ответы

Ответ дал: LFP
0
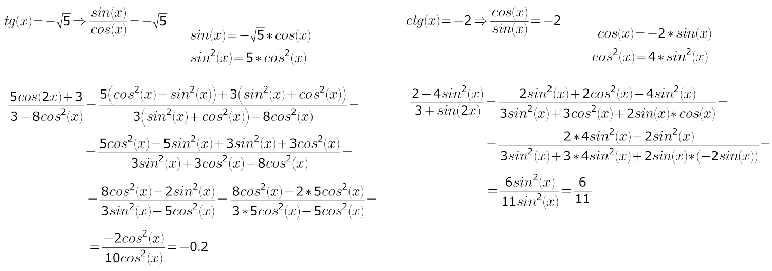
тангенсом (или котангенсом) задано отношение синуса к косинусу...
и всегда поможет основное тригонометрическое тождество)))
Приложения:
Вас заинтересует