• Предмет: Математика
  • Автор: kristinakristi57
  • Вопрос задан 9 лет назад

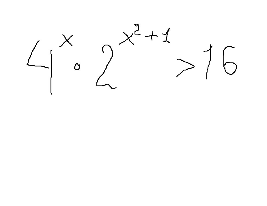
решите неравенство,пжл очень надо!!!

Приложения:

Ответы

Ответ дал: Ninoka2008
0
4*2 = 8
2+1 = 3
8*3 =24
24>16
Ответ дал: kristinakristi57
0
спасибо, но какое-то странное решение ,вы уверены что решали именно это неравенство 4 в степени икс умножить на 2 в степени икс в квадрате плюс 1 и всё это больше 16
Ответ дал: utseetstse
0
20 символов лалалала
Приложения:
Вас заинтересует