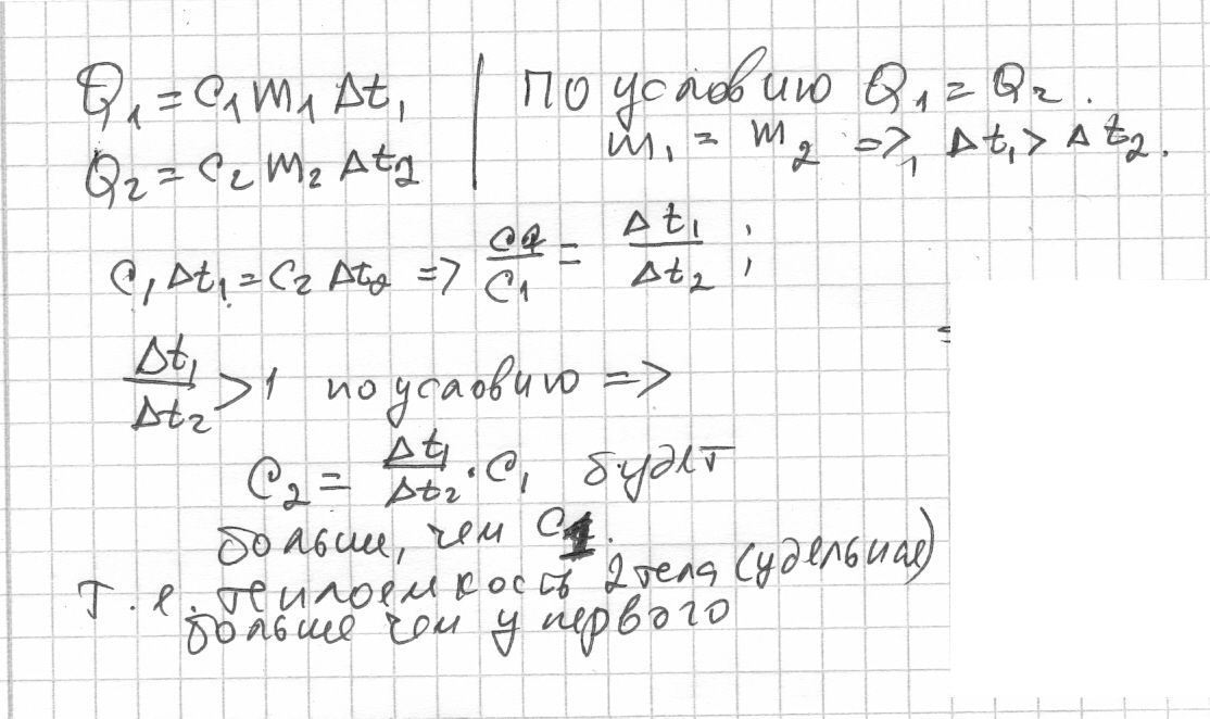
Для нагревания двух разных жидкостей одинаковой массы потребовалось одинаковое количество теплоты если первую жидкость нагрели на большее количество градусов значит
Ответы
Ответ дал:
0
Для нагревания двух разных жидкостей одинаковой массы потребовалось одинаковое количество теплоты если первую жидкость нагрели на большее количество градусов значит
удельная теплоемкость второго тела больше чем удельная теплоемкость первого тела.
Математическое доказательство во вложении.
удельная теплоемкость второго тела больше чем удельная теплоемкость первого тела.
Математическое доказательство во вложении.
Приложения:

Вас заинтересует
2 года назад
2 года назад
7 лет назад
7 лет назад
9 лет назад
9 лет назад
10 лет назад