Ответы
Ответ дал:
0
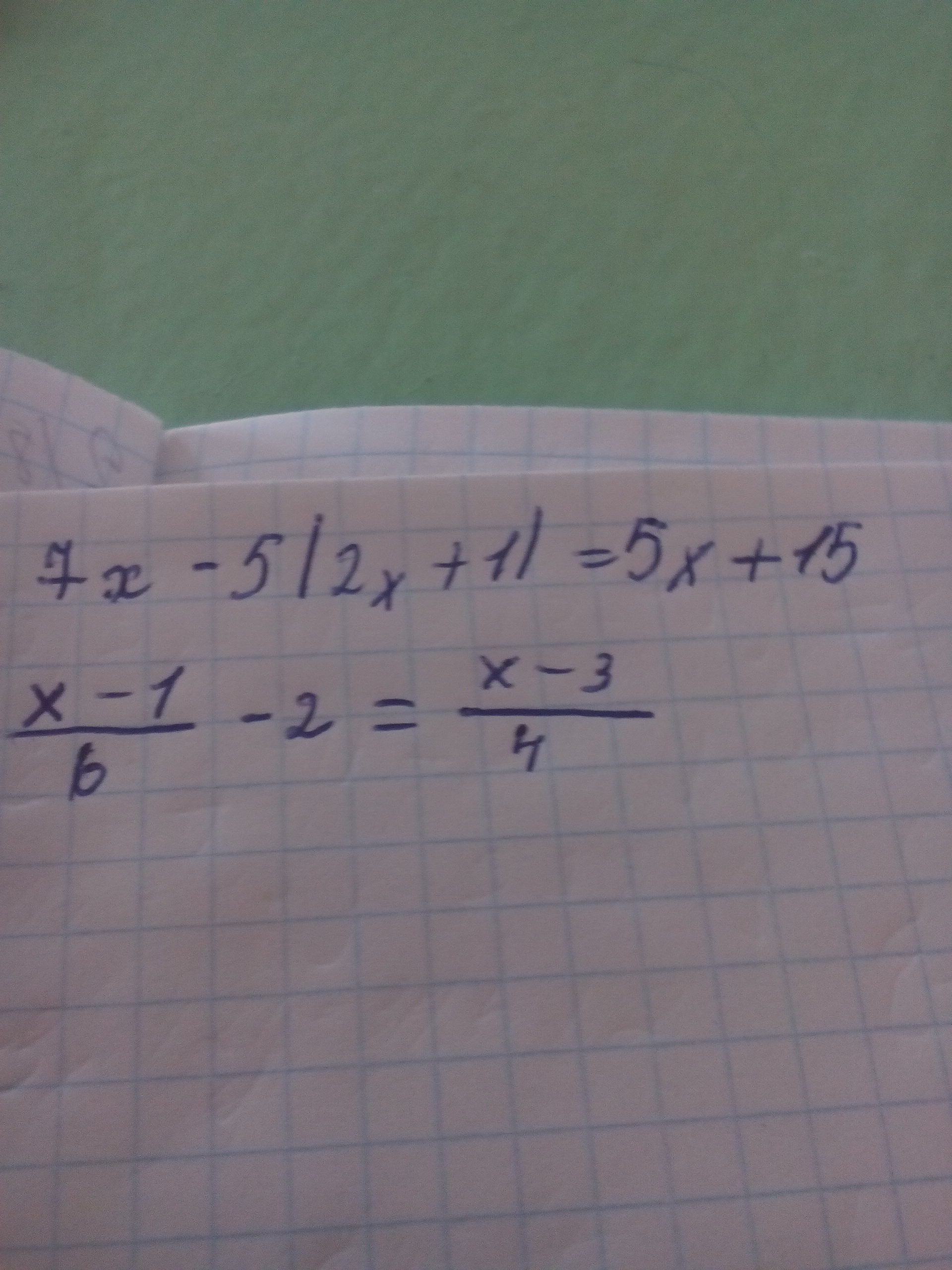
7x-5(2x+1)=5x+15
7x-10x-5=5x+15
-8x=20
x=-2,5
x-1/6 - 2 =x-3/4
(x-1- 12) / 6 =(x-3)/4
4(x-13) = 6(x-3)
4x-52=6x-18
2x=-34
x=-17
7x-10x-5=5x+15
-8x=20
x=-2,5
x-1/6 - 2 =x-3/4
(x-1- 12) / 6 =(x-3)/4
4(x-13) = 6(x-3)
4x-52=6x-18
2x=-34
x=-17
Вас заинтересует
2 года назад
7 лет назад
10 лет назад
10 лет назад