ОЧЕНЬ СРОЧНО,ПРОШУ,,,,
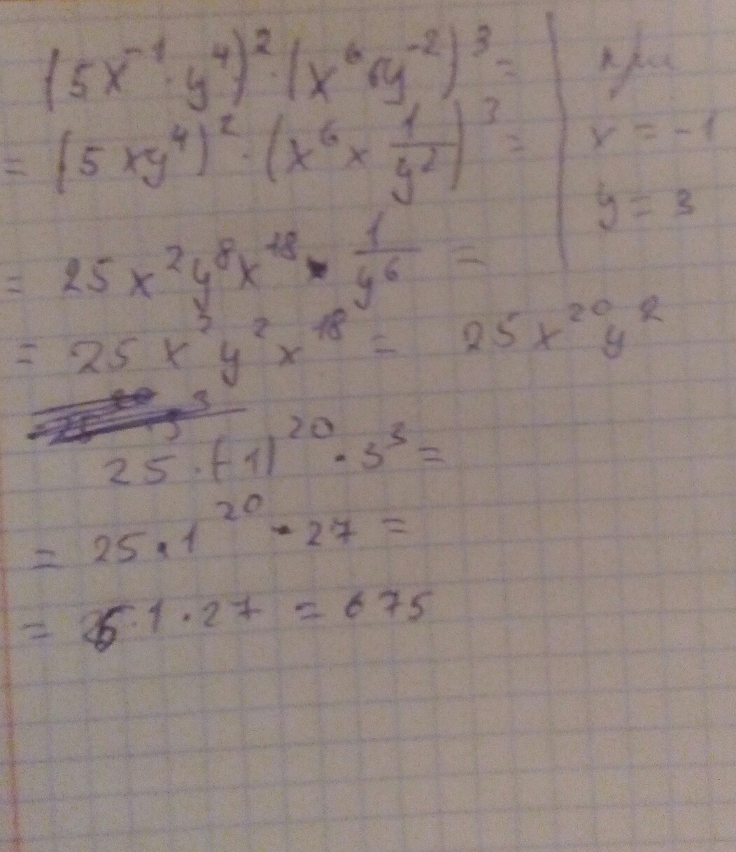
упростить выражение (5х^-1 y^4)^2 (x^6y^-2)^3 и вычислить его значение при х= -1; у=3
Ответы
Ответ дал:
0
........................
Приложения:

Вас заинтересует
2 года назад
2 года назад
7 лет назад
9 лет назад
10 лет назад