• Предмет: Алгебра
  • Автор: Annadommm
  • Вопрос задан 9 лет назад

Помогите, пожалуйста с В3!
Буду очень благодарна.

Приложения:

Ответы

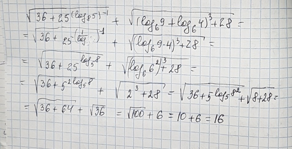
Ответ дал: подкожного
0
решение задания смотри на фотографии
Приложения:
Ответ дал: Annadommm
0
Большое спасибо!!!
Ответ дал: подкожного
0
пожалуйста
Ответ дал: подкожного
0
спасибо за оценку
Вас заинтересует