• Предмет: Математика
  • Автор: Anja2k
  • Вопрос задан 9 лет назад

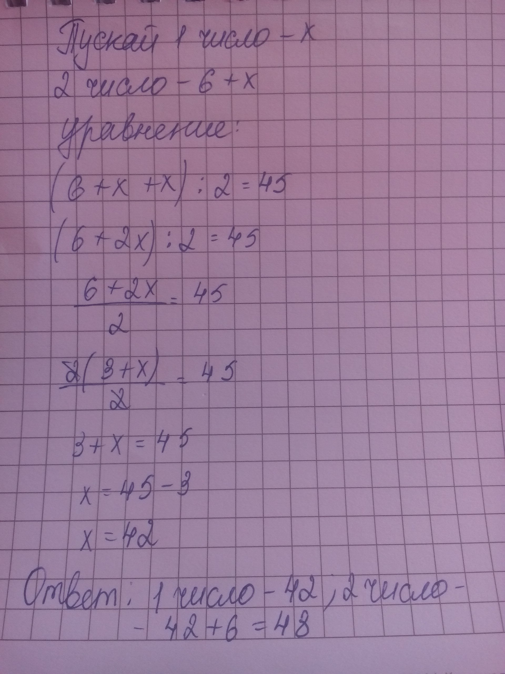
Среднее арифметическое двух чисел равно 45. Одно из чисел больше другого на 6. Найти эти числа.

Ответы

Ответ дал: Маша888
0
х - первое число
х+6 - второе число

(х+х+6)/2 = 45
(2х+6)/2 = 45
х+3 = 45
х = 42

Первое число = 42
Второе число = 48
Ответ дал: Anja2k
0
Спасибо
Ответ дал: Треугольник228
0

смотри решение на фото:
Приложения:
Вас заинтересует