40 Баллов
Упростите выражение:
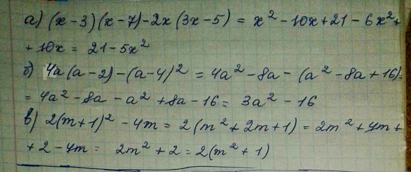
а) (x-3)(x-7)-2x(3x-5)
б) 4a(a-2+)-(a-4)"2(в кв)
В)2(m+1)"2(В кв)-4m
Ответы
Ответ дал:
0
Решение во вложении :)
Приложения:
Вас заинтересует
2 года назад
2 года назад
7 лет назад
7 лет назад
10 лет назад
10 лет назад
10 лет назад