Ответы
Ответ дал:
0
Решение во вложении :)
Приложения:

Ответ дал:
0
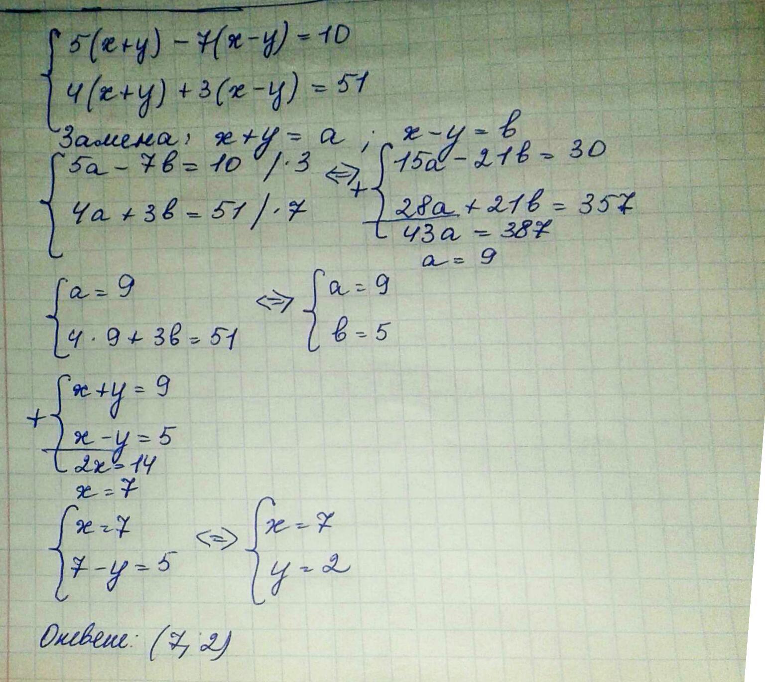
Пусть ( Х + у ) = а ; ( Х - у ) = b
5a - 7b = 10
4a + 3b = 51
----------
5a = 7b + 10
a = 1,4b + 2
4( 1,4b + 2 ) + 3b = 51
5,6b + 8 + 3b = 51
8,6b = 43
b = 5
a = 1,4•5 + 2 = 7 + 2 = 9
-------------
x + y = 9
x - y = 5
2x = 14
x = 7
y = 9 - 7 = 2
Ответ ( 7 ; 2 )
5a - 7b = 10
4a + 3b = 51
----------
5a = 7b + 10
a = 1,4b + 2
4( 1,4b + 2 ) + 3b = 51
5,6b + 8 + 3b = 51
8,6b = 43
b = 5
a = 1,4•5 + 2 = 7 + 2 = 9
-------------
x + y = 9
x - y = 5
2x = 14
x = 7
y = 9 - 7 = 2
Ответ ( 7 ; 2 )
Приложения:

Вас заинтересует
2 года назад
2 года назад
7 лет назад
9 лет назад
10 лет назад
10 лет назад