• Предмет: Алгебра
  • Автор: НоВыЙ13
  • Вопрос задан 9 лет назад

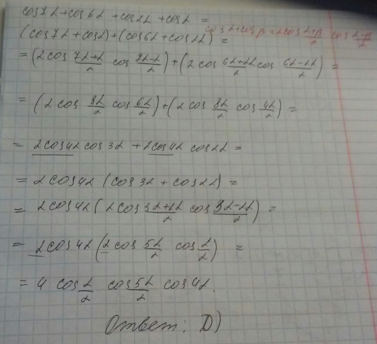
Упростите выражение:
cos7 alpha + cos6 alpha + cos2 alpha + cos alpha

Варианты ответов: A)8cos frac{ alpha }{2}sin frac{5 alpha }{2}cos4 alpha
B)2cos^2 alpha*sin^2 alpha     C) cos alpha*sin alpha  D)  4cos frac{ alpha }{2}*cos frac{5 alpha }{2} *cos4 alpha

Ответы

Ответ дал: ШереметИрина
0
))))))))))))))))))))))))))))))))))))))))))))))) на фото ))))))))))))))))))))))))))))))))
Приложения:
Вас заинтересует