• Предмет: Алгебра
  • Автор: newla
  • Вопрос задан 9 лет назад

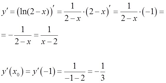
Найдите значение производной функции y=ln⁡(2-x) в точке x_0=-1

Ответы

Ответ дал: tgz
0
Решение на фотографии
Приложения:
Ответ дал: newla
0
Спасибо!
Вас заинтересует