Ответы
Ответ дал:
0
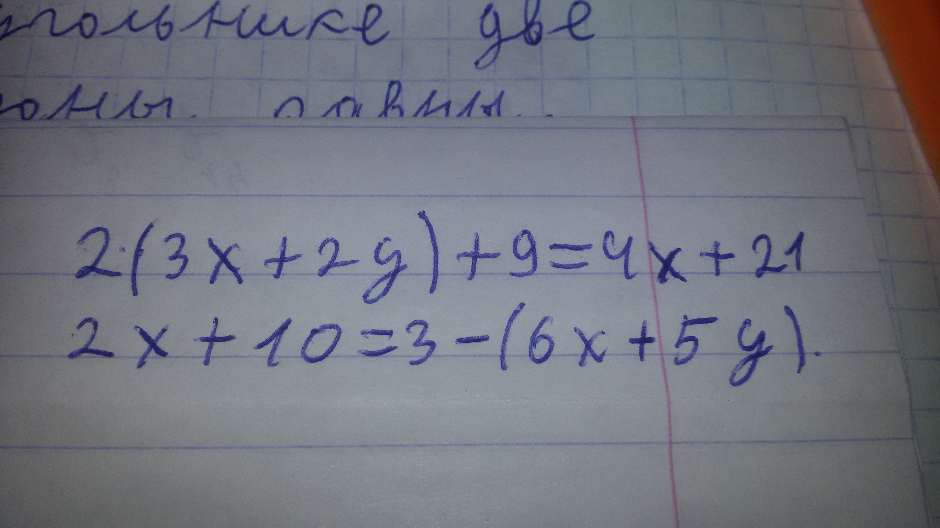
{6x+4y+9=4x+21;
{2x+10=3-6x-5y.
{2x+4y=12;
{8x+5y=-7
{x=6-2y;
{8x+5y=-7
{x=6-2y;
{8(6-2y)+5y=-7 ⇒-11y=-55⇒ y=5
x=6-2·5=-4
О т в е т. (-4; 5)
{2x+10=3-6x-5y.
{2x+4y=12;
{8x+5y=-7
{x=6-2y;
{8x+5y=-7
{x=6-2y;
{8(6-2y)+5y=-7 ⇒-11y=-55⇒ y=5
x=6-2·5=-4
О т в е т. (-4; 5)
Вас заинтересует
2 года назад
2 года назад
7 лет назад
7 лет назад
10 лет назад
10 лет назад