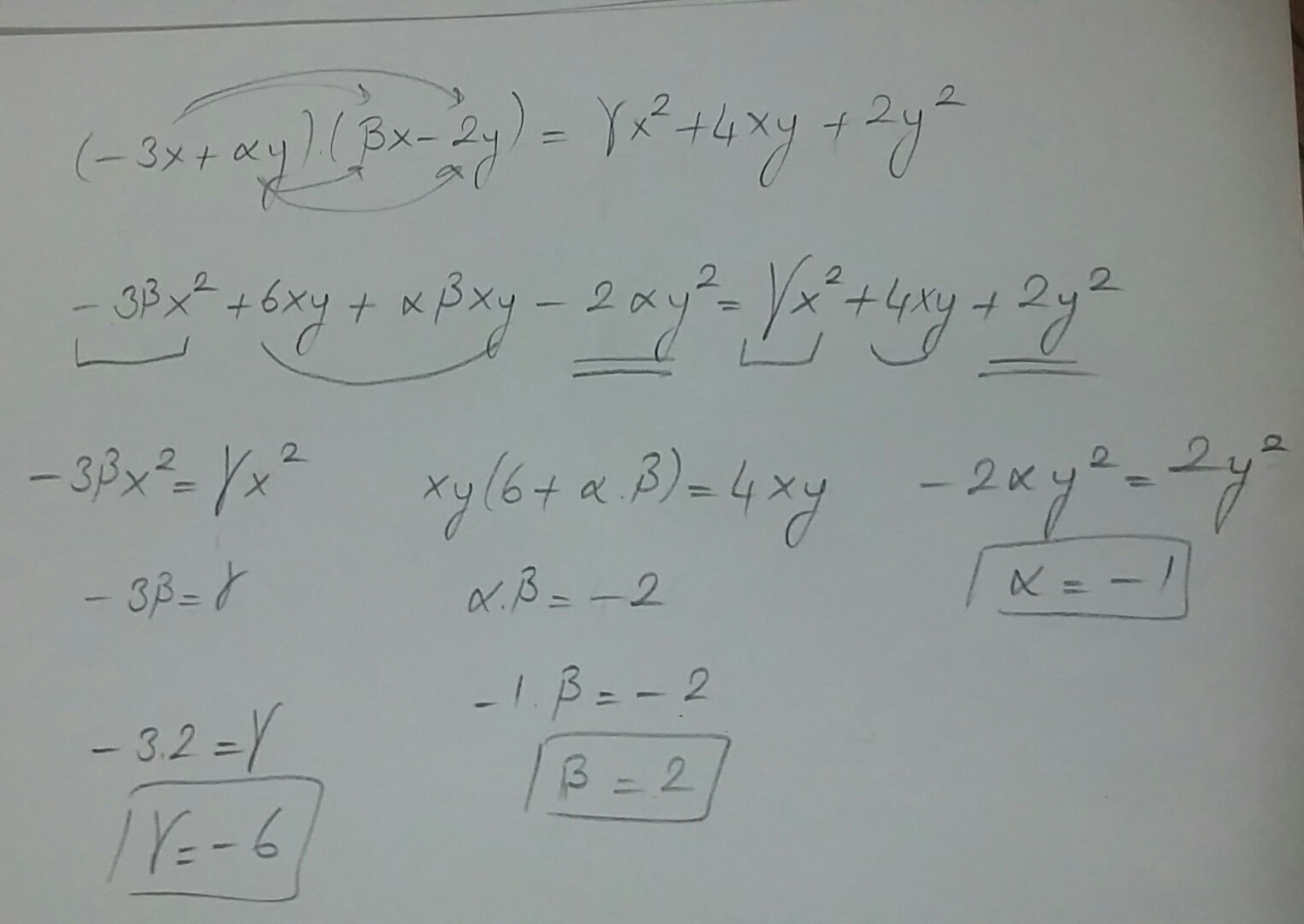
Найти коэффициент β из тождества:
(-3x+αy)(βx-2y)=γx^2+4xy+2y^2
Варианты ответов:
A) 1 B) 2 C) -1 D) 4
Доп. объяснение: γ - гамма, α - альфа , β - бетта
Ответы
Ответ дал:
0
I hope this helps you
Приложения:

Вас заинтересует
2 года назад
2 года назад
7 лет назад
9 лет назад
9 лет назад
10 лет назад