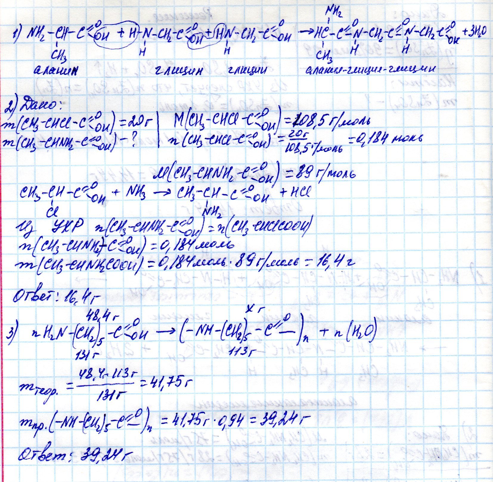
1. Напишите уравнения образования трипептида из молекулы аланина и двух молекул глицина.
2. Рассчитайте массу 2-аминопропановой кислоты, которую можно получить из 20 г 2-хлорпропановой кислоты и аммиака.
3. Вычислить массу капронового волокна, которое можно получить в результате поликонденсации 6-аминогексановой кислоты массой 48,4 г, если выход продукта реакции составляет 94%.
Ответы
Ответ дал:
0
....................................................................
......................................................................
......................................................................
Приложения:

Вас заинтересует
2 года назад
7 лет назад
7 лет назад
9 лет назад
9 лет назад
10 лет назад
10 лет назад