Ответы
Ответ дал:
0
I hope this helps you
Приложения:

Ответ дал:
0
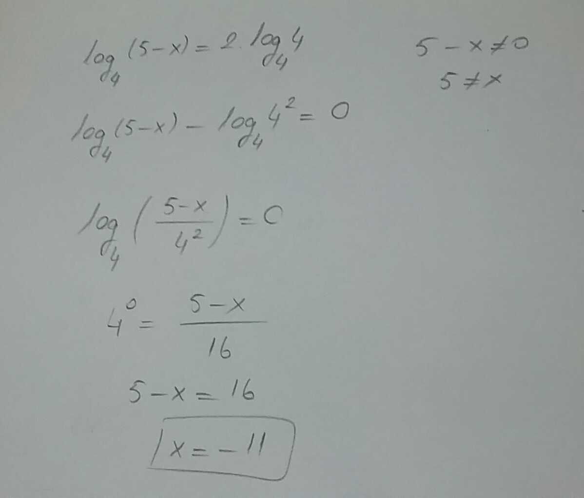
log4 (5-x) = 2
log4 (5-x) = log4 16
5-x = 16
x = -11
Ответ: -11
log4 (5-x) = log4 16
5-x = 16
x = -11
Ответ: -11
Приложения:

Вас заинтересует
2 года назад
2 года назад
7 лет назад
9 лет назад
10 лет назад