• Предмет: Алгебра
  • Автор: ppppoooooooouuuuuu
  • Вопрос задан 9 лет назад

Упростить выражение
2.4Помогите пожалуйста

Приложения:

Ответы

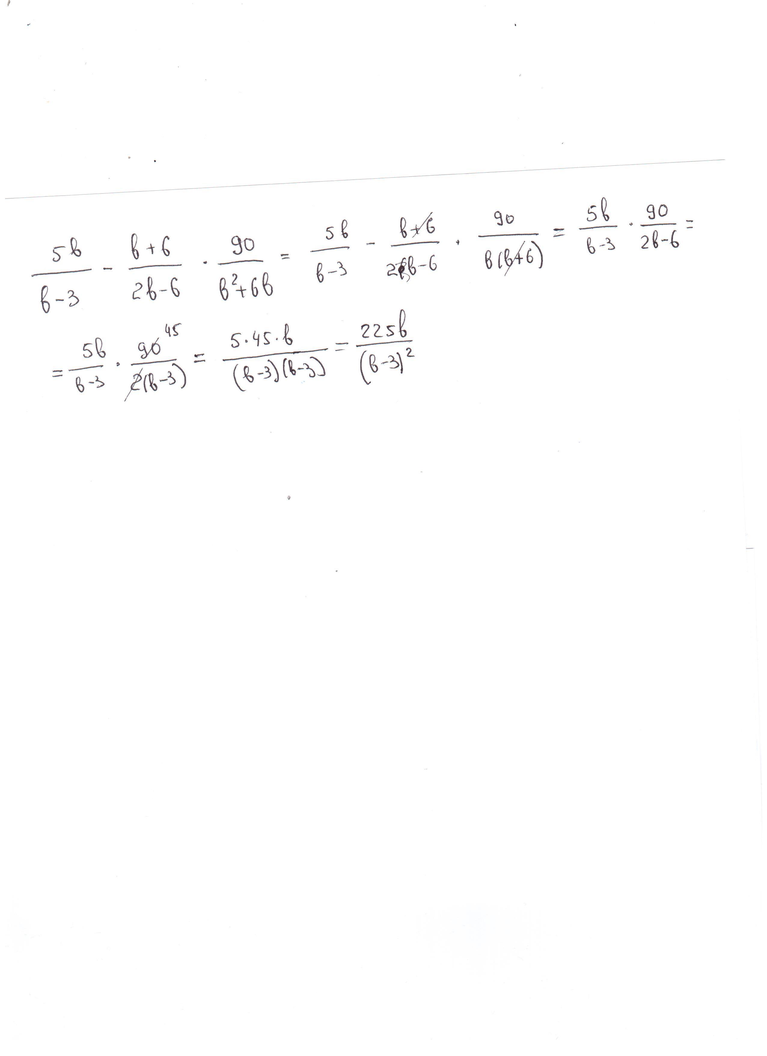
Ответ дал: valenivan
0
Решение смотри на 1 л
Приложения:
Ответ дал: skvrttt
0
frac{5b}{b-3}-frac{b+6}{2b-6}*frac{90}{b^2+6b}=frac{5b}{b-3}-frac{45}{b(b-3)}=frac{5b^2-45}{b(b-3)}=5frac{b+3}{b}
Приложения:
Вас заинтересует